
En esta ocasión me gustaría hablaros sobre un modelo sobre el que he estado pensando para modelizar las bolas de golf, con el objeto de entender mejor que es lo que ocurre durante el impacto del palo sobre la bola, en particular efectos tanto sobre la deformación de la bola como en tiempo total de contacto.
Muchas veces oímos hablar de la compresión de bola, y en realidad no somos conscientes de cómo afecta dicha compresión al resultado de nuestro golpe, cuales son los efectos de usar una bola blanda o dura sobre la trayectoria de vuelo.
También escuchamos a menudo referencias al spin que genera uno u otro jugador profesional, y como juega un determinado modelo de bola de una marca en concreto. Espero que con artículos anteriores hayamos contribuido a que se entienda mejor la importancia del spin a la hora de elegir nuestro equipo, así como el efecto que parámetros como el ángulo de lanzamiento y el spin tienen sobre el perfil de vuelo de nuestro golpe y como los profesionales persiguen constantemente la optimización de estos parámetros.
Entre los comentarios a los dos artículos anteriores hemos recibido sugerencias demandando algo más de información sobre qué tipo de bola genera más o menos spin. La respuesta a esta pregunta está ligada a la diferente reacción de la bola dependiendo del tipo de construcción de la misma, en concreto del número de capas. No obstante, nos gustaría desde este momento aclarar que, si bien la construcción de las bolas suele seguir ciertos elementos estándar entre los diferentes fabricantes, no todos los fabricantes siguen los mismos métodos constructivos y desde luego son reacios a divulgar sus investigaciones en estas áreas de su Investigación y Desarrollo.
Dicho lo anterior, lo que si podemos asumir de forma general es que cada capa de la bola está construida con un material diferente al resto de las capas, y que la elección de materiales dependerá en su mayor medida de las características elásticas (por características elásticas del material entenderemos la capacidad de deformarse y recuperar la forma anterior a dicha deformación) frente al impacto, de este material.
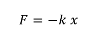
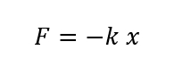
El modelo habitual para sistemas elásticos, con el que la mayoría estará familiarizada, es el modelo elástico de un muelle. El modelo matemático de la física del muelle es sencillo, y se basa en asumir que la fuerza necesaria para deformar un muelle (que por la tercera ley de Newton será igual y opuesta a la que hace el muelle para recuperar su posición) es proporcional a la deformación del muelle. A modo de ejemplo, un muelle que para deformarse 1 mm necesita una fuerza de 100 Newtons, para deformarse 2 mm necesita el doble de Fuerza, 200 Newtons.

Si la bola estuviera compuesta de una sola capa, podríamos asumir el anterior modelo para la bola completa. No obstante, las bolas suelen estar compuestas por varias capas concéntricas de diferentes materiales. El modelo propuesto en este artículo es que cada capa es equivalente a un muelle, y que las diferentes capas pueden considerarse como diferentes muelles puestos en serie.
Como se puede comprobar en el dibujo, la fuerza a lo largo de todo el muelle es la misma. Esto quiere decir que en el caso de la compresión de la bola, la fuerza de compresión a lo largo de toda la bola va a ser la misma. Esto es, todas las capas se comprimen de acuerdo con sus características elásticas.

El sistema de muelles en serie se comporta de forma global como un muelle conjunto, y tiene una constante global, que se puede deducir matemáticamente, que tendría la siguiente expresión, que vamos a utilizar para modelar una bola de varias capas.


Ahora voy a hacer unas pequeñas reflexiones sobre esta ecuación que representa nuestro modelo de bola. Para aquellos que no os sintáis con fuerzas bastaría con que de los próximos tres párrafos os quedarais con la idea de que a base de utilizar diferentes materiales se puede jugar con las características de elasticidad de la bola en su conjunto, y por eso son útiles las bolas con capas.
Analicemos que pasaría si tuviéramos una capa muy poco elástica, con una gran resistencia a la deformación, con una k muy alta, en nuestra bola. En este caso, su contribución a la constante sería 1/k, y al ser k muy alta, su inversa 1/k sería muy baja. En términos de la calle, esta capa de la bola no se deformaría apenas, aunque estaría sometida a la misma fuerza que el resto de las capas.
En el caso contrario al anterior, que tuviéramos una capa de nuestra bola mucho más blanda que las demás, esto es con una k más baja. En este caso, la contribución a la constante en forma de 1/k sería la más alta de toda la bola. En términos de la calle, esta parte sería la que más se deformaría, esto es la que más contribuiría a la constante, puesto que esta sería básicamente la capa de la bola que se deformara y por tanto definiera las características elásticas del conjunto. La constante global del sistema sería muy parecida a la constante del muelle más blando.
¿Qué es lo que pasaría si la capa más blanda fuera fina? En este caso, cuando se hubiera comprimido hasta su límite y no se pudiera comprimir más (imaginaros un muelle totalmente comprimido), pasaría a convertirse en rígida, y su constante pasaría a ser altísima. En este caso, esta capa dejaría de contribuir a la deformación en el sistema elástico más que como mero transmisor de la fuerza, y a efectos de la deformación posterior del sistema elástico sería como si no existiera.
Esta capacidad de alcanzar el límite de deformación elástico a compresión de cada capa me atrevo a especular que se utiliza en el diseño de bolas para conseguir características elásticas diferentes dependiendo de la fuerza aplicada al sistema, que en el caso de nuestro conjunto palo-bola va a estar definido por la Velocidad de Swing.
Voy a recapitular sobre el párrafo anterior. Utilizando capas delgadas se puede conseguir diferentes características elásticas para diferentes Velocidades de Swing. ¿Cuántos de vosotros estáis de acuerdo en que esto es lo que buscamos en una bola?
Por ejemplo una bola que hasta que cierta VDS no llega al primer límite de deformación elástico a compresión se comporta de forma muy parecida a su capa más blanda. Cuando esta capa no se puede deformar más, entonces cambian las características elásticas a compresión, esto es a partir de una VDS superior la capa blanda no influye en la deformación y la bola se comporta como más rígida, más difícil de deformar a compresión. Y así sucesivamente, con tantas capas como se tengan en la bola.
Ahora me gustaría dar un nuevo giro de tuerca y reflexionar sobre la diferencia entre una bola blanda y una bola dura. Y la reflexión la quiero hacer sobre dos aspectos, la fuerza total absorbida por la bola (que será la genere la velocidad de salida), y por otra parte el tiempo de contacto de la bola con el palo (que veremos será proporcional al spin).
Sobre la velocidad de salida, la reflexión a considerar es que se puede conseguir la misma Fuerza Total responsable de la velocidad con diferentes deformaciones de bola, dependiendo del tipo de bola. Dicho de otra forma, con bolas duras la bola puede salir a la misma velocidad que con bolas blandas, puesto que aunque la deformación será menor en el caso de bolas duras, la constante elástica es mayor, y el de la constante elástica (k mayor) por la deformación (x menor) se mantiene. Conviene resaltar que podría haber pequeñas diferencias en cuanto a la Velocidad de Salida entre bolas blandas o duras, pero estas diferencias dependen del conjunto palo-bola-Velocidad de Swing, y para modelar estas pequeñas diferencias necesitaríamos un modelo mucho más complicado para el sistema completo palo-bola.
Sobre el tiempo de contacto, y basándonos en el párrafo anterior, parece claro que las bolas blandas se van a deformar más que las bolas duras. Y nos interesa la deformación mientras la bola está en contacto con el palo, una menor deformación de la bola implica directamente menor tiempo de contacto.
Y el tiempo de contacto es fundamental para la generación de spin. Una bola que, para la misma Velocidad de Swing está en contacto más tiempo con el palo significa que el desplazamiento tangencial de un punto en la superficie va a ser mayor, o lo que es lo mismo se genera mayor velocidad tangencial en el exterior de la bola y por tanto se genera más spin.
Me gustaría que esta fuera la idea que quedara después de los párrafos anteriores. Las bolas con características elásticas a compresión más blandas van a generar más spin que las bolas con características elásticas a compresión más rígidas. E insisto en características elásticas más blandas, en lugar de bolas blandas, porque espero haber explicado anteriormente que con las capas vamos a ser capaces de cambiar las características elásticas de la bola definiendo características diferentes para intervalos de Velocidad de Swing.
Lo anterior es una gran noticia para los jugadores con Velocidades de Swing altas y/o los que quieren disminuir el spin generado con su driver relativo al spin que proporcionalmente generan con sus hierros.
A partir de aquí, la mayoría de las reflexiones son inferencias con la base anterior descrita antes, pues como he comentado con anterioridad no dispongo de datos relativos a las características de los modelos de bola de los fabricantes, por lo que me baso en mis propias deducciones.
Una bola de dos capas, lleva dos intervalos de velocidad de swing en los que se comporta con diferentes características elásticas. Un intervalo es para los approach y favorecer la generación de spin en el approach. El segundo intervalo es para los hierros y el driver de forma conjunta.
Una bola de tres capas tiene los mismos dos intervalos anteriores. La tercera capa externa está diseñada para interaccionar con la hierba, tanto en el aterrizaje como en el Green. Suelen ser capas finas de materiales caros y difíciles de trabajar como el uretano. Estas bolas en general deberían parar en el Green más rápido que una bola de dos capas.
Una bola de cuatro capas, de construcción similar a la de tres capas, pero con otra capa adicional (normalmente el núcleo), va a tener tres intervalos de Velocidad de Swing, y van a corresponder a VDS para approachs, VDS para hierros y VDS para driver. Pasada la última VDS de diseño la capa más influyente será la más interna y disminuirá el tiempo de contacto de la bola con el driver y por tanto generará menos spin con el driver.
Otra vez mas, como en muchas ocasiones anteriores, recordar la importancia de jugar material apropiado, por ejemplo
1. jugar bola de cuatro capas cuando la VDS no llega a la VDS de diseño del ultimo intervalo no sirve para nada positivo.
2. Jugar bola con cubierta de uretano (tres o cuatro capas) y no tratar adecuadamente dicha cubierta delicada igualmente no sirve para nada positivo. Igualmente, para aquellos casos en los que jugamos la ProV1 que nos encontramos al Sol y al hielo (y tiene la cubierta exterior deteriorada) y no notamos diferencia en el aterrizaje con nuestra AD333 nueva con su cubierta exterior intacta
3. Jugar bola de tres o cuatro capas cuando lo que le interesa a nuestro swing es generar más spin con nuestro driver (Ver Importancia del spin a la hora de seleccionar el equipo )
Como siempre, muy recomendable elegir bola de forma razonada y si puede ser con un vendedor profesional informado y que entienda nuestras características de juego mucho mejor. Tened en cuenta que un vendedor profesional puede extraer muchísima información para aconsejar sobre la bola apropiada de cualquier fitting o prueba que hayáis realizado con cualquier tipo palo o bola en el pasado.
@agsmith
Comentarios en este hilo.